Procurando uma forma rápida e precisa de calcular raízes quadradas? Nossa Calculadora de Raiz Quadrada é a solução ideal. Seja você um estudante resolvendo álgebra, um profissional da engenharia ou alguém que deseja aprimorar suas habilidades matemáticas, esta ferramenta oferece um método rápido e confiável para determinar a raiz quadrada de qualquer número positivo.
Para cálculos de raízes mais complexos, não deixe de experimentar o Calculador de Raízes — uma ferramenta mais avançada que suporta diversos tipos de raízes. Para cálculos ainda mais avançados, consulte a seção de Matemática com milhares de calculadoras.
O que é a Raiz Quadrada?
Uma raiz quadrada representa o número que, quando multiplicado por ele mesmo, resulta no valor original. Por exemplo, a raiz quadrada de 25 é 5, pois 5 × 5 = 25. A operação é geralmente representada pelo símbolo radical (√), onde o número dentro da raiz é chamado de radicando.
Matematicamente, √x = y significa que y² = x.
O Símbolo da Raiz Quadrada (√)
O símbolo √ é uma parte familiar da matemática, usado para indicar a operação de raiz quadrada. Sua origem remonta à letra latina "r", abreviação de radix (que significa “raiz”), representando a ideia central de encontrar um número base que, ao ser elevado ao quadrado, resulta no valor original.
Essa notação surgiu no século XVI, introduzida pelo matemático Christoph Rudolff. Desde então, tornou-se um símbolo fundamental na matemática moderna, especialmente em áreas como álgebra, geometria e cálculo.
Com o tempo, o símbolo da raiz quadrada evoluiu para incluir operações de raiz mais complexas, como a raiz cúbica (∛) e a raiz enésima (𝑛√). Essas variações são essenciais para resolver diversos problemas matemáticos, especialmente ao lidar com polinômios, equações não lineares ou simplificação de expressões de modo claro e conciso. Você pode explorar cálculos de raiz cúbica com nossa Calculadora de Raiz Cúbica.

Raiz Quadrada de Números Negativos
No conjunto dos números reais, a raiz quadrada de um número negativo não existe — porque nenhum número real ao quadrado resulta em um número negativo. Mas no sistema dos números complexos, isso é possível pelo uso da unidade imaginária (i), onde i² = −1.
Exemplo: √−9 = 3i
Essa noção é fundamental em matemática avançada, física e engenharia, especialmente em áreas que envolvem formas de onda ou sistemas elétricos.
Operações com a Raiz Quadrada
A raiz quadrada segue regras matemáticas específicas para adição, subtração, multiplicação e divisão. Elas garantem precisão ao trabalhar com números racionais e irracionais.
Raízes quadradas não podem ser somadas ou subtraídas diretamente a menos que seus radicandos — os números sob o símbolo radical — sejam iguais. Isso porque raízes quadradas não seguem as mesmas regras da adição ou subtração tradicionais.
Por exemplo: √9 + √16 = 3 + 4 = 7
Neste caso, as raízes são calculadas separadamente antes da soma. No entanto, para expressões como √9 + √8, a simplificação não é possível, pois os radicandos são diferentes.
Em alguns casos, a simplificação dos radicandos pode revelar fatores comuns. Por exemplo:
√50 + √18
= √(25×2) + √(9×2)
= 5√2 + 3√2 = 8√2
Raízes quadradas podem ser multiplicadas combinando seus radicandos sob uma única raiz, seguindo a propriedade:
√a × √b = √(ab)
Da mesma forma, raízes quadradas podem ser divididas combinando seus radicandos sob um único radical, usando a regra:
√a ÷ √b = √(a ÷ b)
Isso permite simplificar expressões de raiz quadrada unificando-as em uma única raiz quadrada.
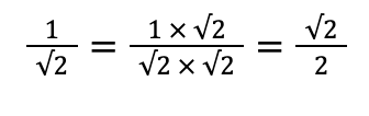
No entanto, ao dividir, é importante garantir que o denominador não contenha uma raiz quadrada. Se contiver, será necessário racionalizar o denominador — um procedimento padrão para simplificar expressões com radicais.
Por exemplo:
.png)
Esse processo elimina a raiz quadrada do denominador, deixando a expressão mais clara e adequada para cálculos futuros.
Derivada da Raiz Quadrada
Em cálculo, a função raiz quadrada pode ser diferenciada usando a regra da potência. Reescreva: x=x12Em seguida, aplique: ddxx=ddxx12=12x−12=12x Essa fórmula mostra que a taxa de variação de √𝑥 diminui conforme 𝑥 aumenta, refletindo o achatamento gradual de sua curva.
Exemplo:
Seja f(x)=√x. Para encontrar a derivada em x = 4:
f ′(4) = 1 / (2√4) = 0.25
Isso significa que a inclinação da reta tangente ao gráfico de y=√x em x = 4 é 0,25
Gráfico da Raiz Quadrada
O gráfico da função raiz quadrada, y = √x, possui uma forma única que se assemelha a metade de uma parábola aberta para a direita e situada acima do eixo x. Começa na origem (0, 0) e continua apenas para x ≥ 0 dentro do conjunto dos números reais, já que raízes quadradas de valores negativos não são definidas nos números reais.

Raiz Quadrada de Potências e Frações
Raízes quadradas se estendem naturalmente para potências e frações, seguindo propriedades matemáticas específicas:
- Raiz Quadrada de Potências: A raiz quadrada de xⁿ pode ser expressa como:
√(xⁿ) = x^(n/2)
- Raiz Quadrada de Fração: A raiz quadrada de uma fração é calculada separadamente para o numerador e denominador:
√(a/b) = √a / √b
Raízes quadradas aparecem frequentemente em fórmulas de geometria, especialmente na fórmula de Hero para área de triângulos. Experimente nossa Calculadora de Área de Triângulo para ver sua aplicação.